2018年春节假期风险提示函
日期:2018-02-08 15:34:07
尊敬的客户:
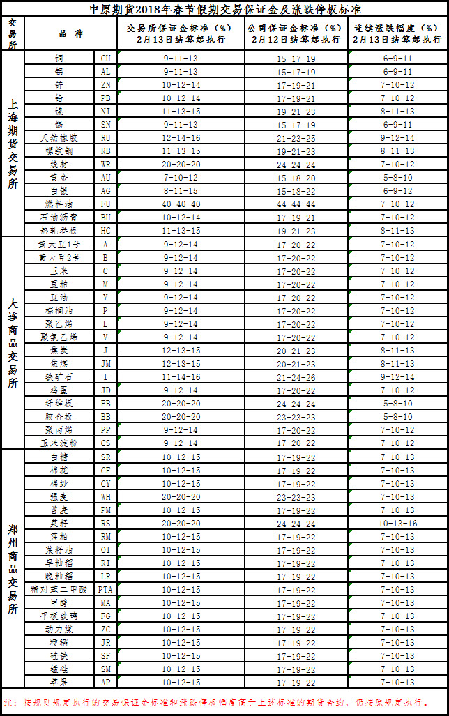
2018年春节假期临近(2018年2月15日至2月21日休市,22日恢复交易),为了有效控制假期期间交易风险,防止假期间因国际市场相关品种价格波动对国内期货品种产生影响,各商品交易所调整了部分品种交易保证金及涨跌停板幅度,公司自2月12日(周一)结算时起对商品期货客户交易保证金浮动比例也进行了相应调整,中国金融期货交易所各品种交易保证金及涨跌停板幅度不变。详见下表或登陆公司网站查询。
2018年2月22日恢复交易后,自第一个未出现单边市的交易日结算时起,所有商品期货品种合约交易保证金标准和涨跌停板幅度恢复原有标准,详情可登陆公司网站查询。
2月14日(周三)当晚不进行夜盘交易;2月22日所有商品期货品种集合竞价时间为08:55-09:00;2月22日当晚恢复夜盘交易。
由于近阶段全球经济和金融形势仍复杂多变,假期期间影响期货品种价格走势的不确定因素较多,提醒您加强期货账户风险管理与防范,及时调整持仓比例和结构,理性投资、轻仓过节!
中原期货股份有限公司
2018年2月7日
